• Home
KALVIEXPRESS - Educational Website
  • Home
  • 12 Std
  • _12Th study Material
  • _12Th PTA And Model
  • _12 Th Revision Question
  • _12Th Public Question
  • _12Th New Book Question

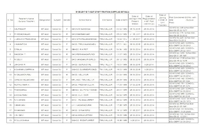
Deployment List ( Final ) - Tiruvallur District

Transfer 0 Comments


Tags Transfer

Posted by: KALVIEXPRESS

Related Posts

Previous Post Next Post

0 Comments

Post a Comment

குà®±ிப்பு

1.KALVIEXPRESS வாசகர்கள் அனைவரையுà®®் அன்புடன் வரவேà®±்கிà®±ோà®®்..

2.அனைவருà®®் தங்கள் பெயர் மற்à®±ுà®®் à®®ின்அஞ்சல் à®®ுகவரி கொடுத்து தங்கள் கருத்தை பதிவு செய்யவுà®®்..

3.இங்கு பதிவாகுà®®் கருத்துக்கள் வாசகர்களின் சொந்த கருத்துக்களே இதற்கு KALVIEXPRESS எந்த விதத்திலுà®®் பொà®±ுப்பு ஆகாது..

4.பொà®±ுத்தமற்à®± கருத்துக்களை நீக்கம் செய்ய KALVIEXPRESS வலைதளத்திà®±்கு à®®ுà®´ு உரிà®®ை உண்டு..

Random Posts

Recent in Sports

Whats app channel

KALVIEXPRESS - Educational Website

TELEGRAM

KALVIEXPRESS - Educational Website

Contact Form

Pages

  • Privacy Policy
  • Term And Conditions
  • Contact Us
  • Disclaimer

Labels

  • -VIDEO
  • /MEd.
  • +2
  • 1
  • 1 st mid Term
  • 1-10 Question
  • 1-5
  • 10 TH
  • 11
  • 11 th Question Paper
  • 11th study material
  • 12
  • 12 materials/ question paper
  • 12 th
  • 12Th
  • 2 STD
  • 2009-TET
  • 3 rd
  • 4TH
  • 5 th /8 th public Exam
  • 5TH
  • 6 TH
  • 6th
  • 7 th PAY
  • 7TH
  • 8 TH
  • 8th
  • 9 TH
  • AADHAR
  • adult tinkering
  • AEBAS
  • AEEO
  • Anganvadi
  • Aptitude Test
  • ARTICLES
  • Award
  • AWD
  • BANK
  • BEd
  • BEO
  • Bio-metric
  • Biology
  • Bonus
  • BOOK
  • Bridge Course
  • Bridge Course Work Sheet
  • BRTE
  • BT Asst
  • Budget
  • Bus Pass
  • CALENDER
  • CBSC
  • CCE
  • centerl govt employee
  • Central Universitiy CU-CET
  • CEO/DEO
  • CET
  • CHEMISTRY
  • Chief Minister Talent Search Exam
  • Club Activities
  • CM CELL/RTI
  • CM/ minister
  • Collector
  • College
  • Commissioner Of School Education
  • Competency Based Test
  • Computer Instructors
  • Computer Science
  • Corona
  • Coroner
  • court copy
  • court judgement
  • Court News
  • cp
  • CPD
  • CPS
  • CRC
  • CSE
  • CTET
  • DA
  • DEE
  • DEO Exam
  • Departmental Exam
  • DEPUTATION LIST
  • DIET
  • DIET Lecturers Study Material
  • DSE
  • e-Filing
  • E-pay
  • E-SR
  • Education Loan
  • Education Policy
  • EDUCATION TV
  • ELECTION
  • EMIS
  • Employment
  • Employment News
  • English
  • Ennum Ezhuthum
  • ESLC
  • EXAM
  • Exam Tips
  • F(A)
  • FA(B)
  • Festival Advance
  • GENUINENESS
  • GO
  • GOPINATH
  • GOVT EMPLOYEE
  • GPF
  • Group 1
  • Guide
  • H5P
  • Half Yearly
  • HEALTH TIPS
  • Hi-Tech Lab
  • Higher study
  • HM
  • HOME
  • HSC
  • Hsc Exam
  • I
  • I'm
  • ICT
  • ICT/QR CODE
  • IFHRMS
  • IGNO
  • Illam Thedi kalvi
  • IMPART
  • INCOME TAX
  • Inspire awards
  • JACTTO-GEO
  • JEE
  • JO
  • Kalai Arangam
  • Kalvi TV
  • Kannavu Aasiriyar
  • lab asst
  • Lap Asst
  • Laptop
  • Learning outcomes
  • LEAVE
  • LESSION PLAN
  • LKG/UKG
  • MATHS
  • MBBS/BE/BA/BSC/MA/MSC/MCA
  • Mental health and life skills
  • midterm
  • MIND MAP
  • Minimum Study Material For CEO
  • Mobile App
  • MOBLIE/TECHO
  • MODEL QUESTION PAPER
  • Naan Muthalvan
  • NAS
  • National Award
  • NEET
  • NEP-2020
  • news
  • NEWSPAPER -NEWS
  • NHIS
  • NISHTHA
  • nm
  • NMMS
  • Non-Teaching
  • NTSE
  • one men commission
  • Online Teat
  • Online Test
  • OTHERS
  • PANA
  • PANAL
  • Paper Valuation
  • pay
  • PAY CONTINUATION
  • PAY CONTINUATION ORDER
  • PAY GO
  • Pensioner
  • PERIODICAL ASSESMENT
  • Periodical Assessment
  • PG
  • PG TRB /TET MATERIAL
  • PGTRB
  • Physics
  • Pindics
  • PLA
  • PPT
  • Practical
  • Pro
  • proceding
  • Proceeding
  • Promotion Counseling
  • Promotion List
  • PSHM to BT
  • PTA
  • PUBLIC EXAM
  • QUARTERLY EXAM
  • Question
  • Question Paper
  • Questions paper/Key
  • Quiz
  • Rain News
  • Record
  • Refresher Course Module
  • Register
  • REGULARISATION
  • REMEDIAL TEACHING MODULE
  • REPUBLIC DAY /INDEPENDENCE DAY COLLECTIONS
  • Revision
  • RH Leave
  • RMSA
  • RTE
  • S
  • S(A)
  • SA
  • SC
  • SCERT
  • SCH
  • Scholarship
  • school /college notification
  • school Fees
  • School Morning Prayer
  • School up Gradation Go
  • SCIENCE
  • Science City Award
  • SCIENCE EXHIBITION
  • Science News
  • science PPT
  • SCIENCE Question
  • Selecition Grade
  • Seniority list
  • SHAALA SIDDHI
  • SLAS
  • smart card
  • SMC
  • SMDC
  • SOCIAL SCIENCE PPT
  • social media
  • SOCIAL SCIENCE
  • SOCIAL SCIENCE PPT
  • SPD
  • Special TET
  • Special Teacher
  • SSA
  • SSAS
  • SSE
  • SSLC
  • SSLC Exam
  • Strike
  • STUDY MATERIAL
  • Supplementary
  • Supplementary Exam
  • Surplus list
  • Syllabus
  • ta
  • TACTO
  • TALENT EXAM
  • TAMIL
  • Tamil Nadu CM Talent Search Exam Exam
  • Tamil Talent Search Exam
  • TAX
  • TEACHERS DAY
  • Teachers Society
  • Teachers students ratio
  • TERM 1
  • TERM 2
  • TERM 3
  • term1
  • TET
  • TET -1500
  • TET MATERIAL
  • Thiran
  • tim
  • TIME TABLE
  • TN Press News
  • TN school app
  • TNPSC
  • TNSED App
  • TNSET/NET
  • TNTP
  • TNUSRB
  • TODAY HISTORY
  • TPF
  • Training
  • Transfer
  • TRB
  • TRB -BEO
  • TRB -BT Exam
  • TRB -Polytechnic
  • TRB -SGT-Exam
  • TRB/TNPSC Rank list
  • TREASURY
  • TRUST Exam
  • TTSE
  • UGC
  • UGTRB
  • UPS
  • Urdu Study Material And Question Paper
  • vacancy
  • VACANCY LIST
  • Vacant list
  • Vanavil Mandram
  • Vedio
  • Workplace
  • WORKSHEET
  • அலுவலக பணியாளர்
  • ஆசிà®°ியர்கள் போà®°ாட்டம்
  • கவிதை
  • படிவம்
  • பணி நிரவல்
  • மன்à®± செயல்பாடுகள்
  • à®°ேஷன் காà®°்டு
  • விà®°ுதுகள்

Popular

12Th Public Exam Question Paper March 2025 And Answer Key

3:38 PM

12Th Public Exam Question Paper 2024 And Answer Key

10:44 AM

12Th Public Exam March 2023 Question Papers and Answer key.

8:35 AM

Footer Menu

  • Home
  • About
  • Contact Us
  • Term And Conditions
  • Privacy Policy
  • Disclaimer
Design by Theme | Distributed by Gooyaabi Template

Contact Form